3.15 Rectangular grid of two-way streets Consider an n x m rectangular grid of two-way streets running north-south and east- west as shown in Figure P3.15. Assume that incident positions are distributed uniformly over the grid. A response unit patrols the grid in a uniform manner. The incident location and the response unit location are independent. Let

D = travel distance between the response unit and the incident, assuming the unit follows a shortest path that remains on the streets of the grid

pg169b.gif (10485 bytes)

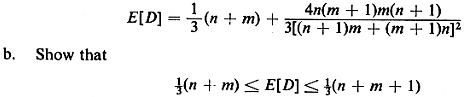
a. (Optional) By carefully and patiently conditioning on the various possible locations for the incident and response unit, show that

pg170a.gif (7454 bytes)

where the left-hand inequality becomes an equality when n or m is zero and the right-hand inequality becomes an equality when n = m. Thus, the continuous approximation, (3.12a), is never in error by more than I block length.