3.20 Crofton's method Here we wish to apply Crofton's method for finding mean values to the problem of finding the mean Euclidean distance,

 pg171b.gif (3136 bytes)

where (X1, Y1) and (X2, Y2) are uniformly and independently distributed over a circle of radius r. Here, for instance, (X1, Y1) and (X2, Y2) could be the locations of an emergency and a helicopter response unit, respectively, and D would be the travel distance to the emergency.

a. By arguments similar to those used in the text, show that

pg171c.gif (25596 bytes)

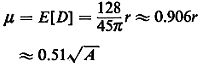
c. Use your results in parts (a) and (b) to obtain

 pg172a.gif (3259 bytes)

where A = Pi.gif (60 bytes)r2 is the area of the circle.

Note: You have just derived one of the constants in Table 3-1.