4.10.2 State-Transition-Diagram Approach to Networks with Blocking Effects

        Whenever the arrival of users at a queueing network constitutes a Poisson process and each queueing system in the network has negative exponential service times, it is possible, at least in principle, to obtain the properties of the queueing network under steady-state conditions by using the following twostep approach:

STEP 1: Prepare a state-transition diagram that shows all the possible states that the queueing
              network
(i.e., the collection of queueing systems) can be in and the transitions between  
              states in steady state.

STEP 2: Write and solve the balance equations for the steady-state probabilities of the
              queueing network.

        This approach will be one of the fundamental ideas that Chapter 5 will develop with respect to a specific but very rich family of queueing systems. In this section we shall only illustrate the approach with reference to series queueing networks with blocking effects. One of the main points that the reader should take note of is how this approach can deal with interactions between the component queueing systems of the network.

Example 3: In-Series Servers with No Waiting Space

Consider the queueing network shown in Figure 4.19. Arrivals at the first facility are Poisson with rate lambda.gif (179 bytes). The two facilities contain single identical servers with negative exponential service times and mean service time 1 /mu.gif (189 bytes). No queues are allowed in front of facility 1 or between the two facilities. Thus, facility 1 is "blocked" whenever it has completed service to a user while facility 2 is occupied with another user. As a result, prospective users of the queueing network are turned away not only when, on arrival, they find facility 1 busy, but also when they find it blocked.

form4.19.gif (7795 bytes)

 

Solution

To describe the state of the network we now need two index numbers: one to indicate the state of facility 1 and the second to indicate the state of facility 2. Facility 2 can be either empty (0 users in the facility) or contain 1 user; facility 1 can be empty (0 users) or full and busy (1 user) or idle but full due to blocking from another user in facility 2. We indicate this last condition by the letter b, for "blocked." Thus, the possible network states are 00, 01, 10, 11, and b1, with the first index number, by convention, denoting the state of facility 1. Note that state b0 cannot exist.        
        A state-transition diagram for the network of Figure 4.19 is now shown in Figure 4.20. Using the diagram and recalling the "rate in" = "rate out" approach that we have taken in order to write steady-state equations of balance, we have

form4.116.a.gif (13474 bytes)

 

where the meaning of each of the steady-state probabilities Pij is obvious.

fig4.20.gif (13376 bytes)

 

        Using (4.117) and any four of the five equations in (4.116) and solving for the five steady-state probabilities, we obtain

formpg247.gif (20099 bytes)

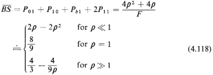
        Of more interest, however, are the effects of blocking (and of the zero queueing capacity) on the performance of the queueing network. For example, the mean number of busy servers in the network is

form4.118.gif (7952 bytes)

 

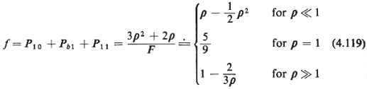
while the fraction of potential users lost is given by

 

form4.119.gif (7915 bytes)

 

      It is interesting to observe how bs.gif (1108 bytes) and f change as additional queueing slots are provided in front of one or both service facilities.

        Theoretically, this type of approach can, as noted above, be applied to any queueing network-no matter how complex-as long as the queue capacities for every element of the network are finite. 16 When all queue capacities are finite, there is a finite number of possible network states and, consequently, a finite number of balance equations which determine the steady-state probabilities (see Problem 4.13).
       In practice, however, the number of states increases rapidly with the number of network elements, while the writing and solving of steady-state balance equations turns progressively more difficult as the complexity of network topologies increases. To appreciate this, imagine the simple network of Figure 4.19 but extended by two more facilities in series: thus, we have an in-series network consisting of four single-server facilities with no queueing slots available in front of the first service facility or in the space between facilities. It then turns out that a full 34 different network states exist, with each state requiring four index numbers (one for each of the four servers).
       The approach can also be applied to networks where some or all queue capacities are infinite. However, the number of balance equations is also infinite in this case, since we must write one balance equation for each state. Under these conditions it is possible to obtain closed-form solutions for the steady-state probabilities only if some type of "structure" is detected in the infinite equations. [We did observe such structures in our discussion of birth-and- death queueing systems (Sections 4.5 and 4.6) and were thus able to solve a system with an infinite number of balance equations.] The hypercube queueing model, which is presented in Chapter 5, is an excellent example of a queueing system in which this structure-detection approach applies.

        16 Remember that this discussion assumes Poisson arrivals at the network and negative exponential service times for all servers.