4.5.1 Solving the Balance Equations

       We can now proceed to solve the balance equations expressing all steadystate probabilities Pn, n = 0, 1, 2, . . . in terms of one of them and then taking advantage of the fact that

form4.25.gif (2631 bytes)

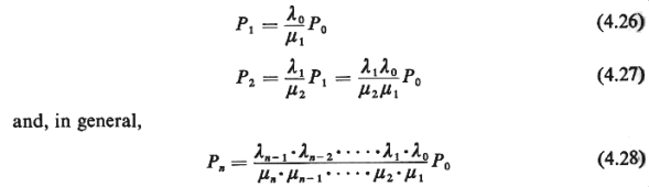
It is common practice in queueing theory to express P1, P2, P3, . . . in terms of P0, the steady-state probability of an empty system. Working with (4.22) and (4.23) or, equivalently (and preferably) with (4.24), we have

form4.26.gif (11435 bytes)



or, defining the coefficient of P0, in (4.28) as the quantity Kn, we have

Going now back to (4.25),

form4.29.gif (7059 bytes)

It follows that the system can reach steady state only if . For, otherwise, P0 = P1 = P2 = ... = 0 (i.e., the number of users in the system never "stabilizes").

Assuming that the system does reach steady state, the probabilities   Pn, n = 0, 1, 2,. . . , are now given by the fundamental expressions (4.30) and (4.28), and other quantities of interest can be computed from these probabilities. For instance,

form4.31.gif (2671 bytes)

and q, , and q, can then be obtained from (4.10), (4.11), and (4.13).

Exercise 4.2 Argue that the value of lamda.gif (291 bytes) that should be used with Little's equations, (4.10) and (4.11) is in this case,

form4.32.gif (2471 bytes)