4.4 Waiting at a street intersection Consider the intersection of two city streets shown in Figure P4.4(1). Both streets are one-way. One of them is designated as the "primary" street and vehicles on it have priority at the intersection. On the "secondary" street there is a stop sign at the intersection.
        Consider a car on the secondary street that arrives at the intersection at a random time while no other car on the secondary street is waiting to cross the intersection. Assume that:

1 . The car on the secondary street arrives at the intersection at a random time.

255-1.gif (7141 bytes)

2. The vehicles on the primary street do not slow down or yield to vehicles on the secondary street at the intersection.

3. The headways, H, between vehicles on the primary street are independent and identically distributed random variables with pdf fH(t), expected value E[H], variance sig2h.gif (1033 bytes), and so on.

4. The car on the secondary street will cross the intersection as soon as a time gap greater than t0 (a constant) is perceived before arrival of the next vehicle on the primary street (assume that drivers perceive such things correctly). Note that a car on the secondary street may cross the intersection immediately upon arrival there, if the remaining time until the arrival of the next primary-street car at the intersection is greater than t0.

Figure P4.4(2) illustrates this whole situation. Let

Y = time between the instant when the car on the secondary street first arrives at the intersection and the instant when it begins crossing

a. Derive an expression for E[ Y1 in terms of fH(t) (and its moments) and t0.

b. Derive an expression for sigma2.gif (521 bytes)Y.

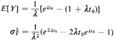
c. Apply your results of parts (a) and (b) to the case where the headways are negative exponentially distributed [i.e., fH(t) = lambda.gif (179 bytes)e-lambda.gif (179 bytes)t for t geq.gif (61 bytes) 0]. Show that

255-2.gif (4314 bytes)

d. Apply your results of parts (a) and (b) to the case where t0 = 4 seconds and H is uniformly distributed between 2 and 10 seconds.

256-1.gif (22471 bytes)

    X = instants when cars on primary street reach the intersection
    R = remaining time until first primary-street cars's arrival
    Y = R + Z

e. Assuming that all drivers on the secondary street use the same to, does your result of part (a) apply to all drivers on the secondary street once they become first in line, or only to those drivers who find no one else waiting. at the stop sign at the time of their arrival at the intersection? Please explain in a couple of sentences (no mathematical analysis). What about the case of pedestrians crossing a street with no traffic lights (and drivers who do not slow down)?