4.9 Hospital emergency ward with preemptive priorities
The lone doctor in the
Puddleduck City Hospital emergency ward encounters two types of
patients: emergency and
nonemergency patients, who arrive at independent Poisson rates 1,
and 2,
respectively. Their treatment times are independent and
exponentially distributed with
parameters 1,
and 2,
respectively.
If an emergency patient arrives
during the treatment
of a nonemergency patient, the latter's treatment is immediately
stopped in favor of the
emergency patient. The interrupted treatment is resumed (i.e., from
the point at which it
was interrupted) when there are no emergency patients present. The
treatment of an
emergency patient is never interrupted, and within the two groups
there is a first-come,
firstserved discipline.
a. Find the mean number of emergency patients in the system
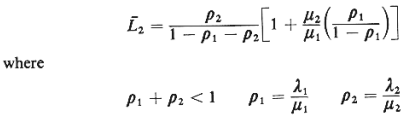
b. Show that the mean number of nonemergency patients in the
system is

c. Assume that 1/ 1,
= 2/ 2 <
1/2 Compare the mean waiting times of both
types of patient with
and without the preemptive priority system.
Hints: The time a nonemergency patient spends in the
emergency ward consists
of three components:
1 . The time between her arrival and the next time that a
nonemergency patient receives
attention (T1).
2. The time to complete treatment on all the nonemergency
patients in front of her.
3. The time from her first receiving attention until the time
that the treatment is
completed (completion time, T).
Show that

|