5.3.2 General Model



We consider a region B served by two response units, unit 1 and unit 2. Each unit, while not busy at a service request, is located at a fixed home location or facility. The system operates in the following way:

  1. If X is any subset of B, we assume that service requests arrive in X according to a Poisson process with parameter (X), with arrivals in any two disjoint subsets being independent.

  2. The region is partitioned into two primary response areas, area 1 comprising the set A and area 2 comprising the set B - A. Requests for service arrive from area 1 with rate (A) 1, and from area 2 with rate (B - A) 2. Set = 1 + 2.

  3. If an area n service request arrives when both units are available, it is served by unit n, n = 1, 2.

  4. If an area n service request arrives when exactly one unit is available, it is served by the available unit, n = 1, 2.

  5. If an area n service request arrives when neither unit is available, the request is lost. As discussed above, this assumption usually implies that the request is handled by some backup service system.

  6. The system is operating in the steady state.

  7. The service times for all service requests are identically distributed with a finite average 1 / , independent of the history or the state of the system at arrival, the location of the request, and the identity of the serving unit.

Each server can be in one of two states: 0, corresponding to available or free; and 1, corresponding to busy servicing a request. There are thus 22 system states, as follows:

00:both units are available
01:unit 1 is busy and unit 2 is available
10:unit 1 is free and unit 2 is busy
ll:both units are busy

(Note that the status of unit n is given by the nth digit from the right in the binary-state depiction.) As we will see in the next section, the binary-state classification extends in a natural way to N servers, in which case the system has 2N states.

The state-transition diagram for this four-state process is shown in Figure 5. 1. While the steady-state probabilities do not depend on the exact form of the service time distribution [CHAI 731, we will assume negative exponential service times, in order to write the equilibrium equations of balance in accordance with the procedures of Chapter 4:

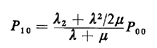
  1. Conservation of flow about state 00

    P00 = (P01 + P10)

  2. Conservation of flow about state 01

    P01( + ) = P001 + P11

  3. Conservation of flow about state 11

    P112 = P01 + P10

  4. Sum of probabilities

    P00 + P01 P10 + P11 = 1

    Substituting (5.8) into (5.6) yields

    Substituting (5.10) into (5.7) yields

    By symmetry we must have

    Finally, substitution into (5.9) yields (after some manipulation)

    We notice that P00 is the same as P{S0} in an M / M / 2 system with no waiting space. This is just what we expect: the two-server system that we are analyzing is simply an M / M / 2 system with distinguishable servers with no waiting space. Defining = /2, 1 = 1/, 2 = 2/, we have for the state probabilities

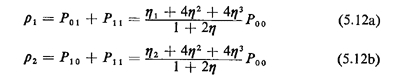
    We define the workload of unit n to be the steady-state probability that unit n is servicing a request, and we denote it by n Clearly,

    The difference in workload , which is a measure of the extent to which one unit works harder than the other, is thus

    Another quantity of interest is

    fnj = fraction of answered service requests that take unit n to response area j

    This "interarea dispatch frequency" allows us to compute mean travel times. Define

    Tn(C) average time for unit n to travel to a service request in region C

    (C) = average system-wide travel time, assuming that unit 1's primary response area is the region C

    Then, for instance, Tn(B) is the average travel time if every serviced request (in B) is answered from location n. Since region A is unit 1's primary response area, the average system-wide travel time to serviced requests can be written

    How do we obtain the fnj's? Invoking an argument of Chapter 2, consider a long time interval T. In the steady state, the average total number of requests serviced is (1 - P11)T; the average number of requests that take unit 1 to region 2, for instance, is equal to 2T multiplied by the fraction of time the system is in state P10 Thus, the fraction of all serviced requests arriving in T that take unit 1 to area 2 is

    In a similar manner, we find that

    Substituting (5.15) and (5.16) into (5.14), we obtain for the mean travel time,

    This formula can be used to calculate mean travel time for any proposed primary response areas A and B - A.