
NOTE: These solutions are provided for your convenience. All the best efforts have been made to ensure their accuracy. However, they have been created by humans....who do make errors. Please note any errors which you might find and send them to me at CHRISL@MIT.EDU.
The following are links to the solutions to the homework problems.
Handouts and In-Class Assignments
| Loads (pg 1) | Loads (pg 2) | Loads (pg 3) | Loads (pg 4) |
Shaeffer. Reinforced Concrete: Preliminary Design for Architects and
Builders.
Problems from the Course Reader on Wood
| Joists (pg 30) | Beams (pg 40) | Framing (pg 41) | Framing (pg 2) | Framing (pg 3) |
| Framing (pg 4) | Framing (pg 5) | Framing (pg 6) | Framing (pg 7) | Framing (pg 8) |
| Framing (pg 9) | Framing (pg 42) | Framing (pg 2) | Framing (pg 3) | Framing (pg 4) |
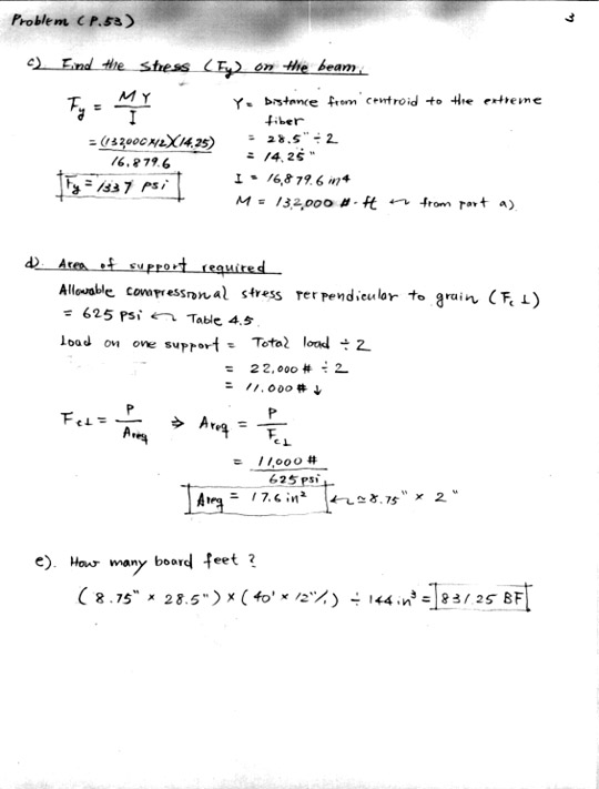
| Framing (pg 5) | GluLam (pg 53) | GluLam (pg 2) | GluLam (pg 3) | GluLam (pg 4) |
| Shear (pg 62) | Shear (pg 63) | GluLam (pg 64) | GluLam (pg 65) | Connections (pg 104) |
| Bolted Connection (pg 106) | Wood Truss (pg 198) | Roof Truss (pg 206+) | Trussed Roof (pg 212) | Trusses (pg 220) |
| Trusses (pg 221) |
| Quiz 1 | Quiz 2 | Exam |