EJS-07_natcomm-10-3535 Time-resolved XUV ARPES with Tunable 24–33 eV Laser Pulses
at 30 meV Resolution

 
Edbert J. Sie, Timm Rohwer, Changmin Lee, and Nuh Gedik
 
High harmonic generation of ultrafast laser pulses can be used to perform angle-resolved photoemission spectroscopy (ARPES) to map the electronic band structure of materials with femtosecond time resolution. However, currently it is difficult to reach high momenta with narrow energy resolution. Here, we combine a gas phase extreme ultraviolet (XUV) femtosecond light source, an XUV monochromator, and a time-of-flight electron analyzer to develop XUV-based time-resolved ARPES. Our technique can produce tunable photon energy between 24–33 eV with an unprecedented energy resolution of 30 meV and time resolution of 200 fs. This technique enables time-, energy- and momentum-resolved investigation of the nonequilibrium dynamics of electrons in materials with a full access to their first Brillouin zone. We evaluate the performance of this setup through exemplary measurements on various quantum materials, including WTe2, WSe2, TiSe2, and Bi2Sr2CaCu2O8+δ.
 
Nature Communications 10, 3535 (2019)
 
See also the following article on this particular topic from the MIT News Office.



IRMANDY-02_CHI-2018 PerForm: Deformable Interface for Exploring Sound through Shapes
 
Irmandy Wicaksono, Caroline Rozendo, Runzhou Ye, Jaleesa Trapp, V. Michael Bove Jr., Canan Dagdeviren, and Hiroshi Ishii
 
In this paper, we describe a novel electronic musical interface, consisting of a strand-like object that can be physically transformed by bending to create various shapes and signifiers. Users are encouraged to explore a visual language in a musical context, as each new shape portrays a different musical instrument with unique sonic behavior. We apply concepts from research in the area of cross-modal perception as guidance for mapping shapes and signifiers to corresponding sounds.
 
Paper LBW605, CHI EA'18 Proceeding, Montreal QC, Canada, 2018
 
You may also download a PDF copy of the paper
here.



RZP-08_2018GL079383 Ionospheric Density Irregularities, Turbulence, and Wave Disturbances During the Total Solar Eclipse Over North America on 21 August 2017
 
Rezy Pradipta, Endawoke Yizengaw, and Patricia H. Doherty
 
Data from ionosonde and global positioning system (GPS) total electron content (TEC) observations reveal a number of ionospheric phenomena during the total solar eclipse on 21 August 2017 over North America. The eclipse started over the West Coast at ~16:00 UTC (~07:53 LT) and ended over the East Coast at ~20:00 UTC (~14:46 LT). We identify a growth of plasma density irregularities and turbulence on the bottomside ionosphere during the eclipse totality (at ~10:03 LT over Idaho Falls), signified by the distinct appearance of spread-F echoes in the ionosonde data. In addition, data from the ionosonde observations also show some characteristic signatures of traveling ionospheric disturbances at ~300 km altitude during the eclipse. Finally, large reductions in TEC and ionospheric plasma densities (by 33-45%) due to the eclipse were observed in both the GPS TEC and ionosonde data.
 
Geophys. Res. Lett., 45, 7909-7917 (2018)
 




IRMANDY-01_nime2017-0066 FabricKeyboard: Multimodal Textile Sensate Media as an Expressive and Deformable Musical Interface
 
Irmandy Wicaksono and Joseph A. Paradiso
 
This paper presents FabricKeyboard: a novel deformable keyboard interface based on a multi-modal fabric sensate surface. Multi-layer fabric sensors that detect touch, proximity, electric field, pressure, and stretch are machine-sewn in a keyboard pattern on a stretchable substrate. The result is a fabric-based musical controller that combines both the discrete controls of a keyboard and various continuous controls from the embedded fabric sensors. This enables unique tactile experiences and new interactions both with physical and noncontact gestures: physical by pressing, pulling, stretching, and twisting the keys or the fabric and non-contact by hovering and waving towards/against the keyboard and an electromagnetic source. We have also developed additional fabric-based modular interfaces such as a ribbon-controller and trackpad, allowing performers to add more expressive and continuous controls. This paper will discuss implementation strategies for our system-on-textile, fabric-based sensor developments, as well as sensor-computer interfacing and musical mapping examples of this multi-modal and expressive fabric keyboard.
 
Paper #0066, New Interfaces for Musical Expression (NIME), 2017
 
Learn more about the project
here, and see also the following article in the Fast Company magazine.



EJS-06_springer-book-thesis Coherent Light-Matter Interactions in Monolayer Transition-Metal Dichalcogenides
 
Edbert J. Sie
 
This thesis presents optical methods to split the energy levels of electronic valleys in transition-metal dichalcogenides (TMDs) by means of coherent light-matter interactions. The electronic valleys found in monolayer TMDs such as MoS2, WS2, and WSe2 are among the many novel properties exhibited by semiconductors when thinned down to a few atomic layers, and have have been proposed as a new way to carry information in next generation devices (so-called valleytronics). These valleys are, however, normally locked in the same energy level, which limits their potential use for applications. The author describes experiments performed with a pump-probe technique using transient absorption spectroscopy on MoS2 and WS2. It is demonstrated that hybridizing the electronic valleys with light allows one to optically tune their energy levels in a controllable valley-selective manner. In particular, by using off-resonance circularly polarized light at small detuning, one can tune the energy level of one valley through the optical Stark effect. Also presented within are observations, at larger detuning, of a separate contribution from the so-called Bloch-Siegert effect, a delicate phenomenon that has eluded direct observation in solids. The two effects obey opposite selection rules, enabling one to separate the two effects at two different valleys.
 
Springer Thesis (c) 2018, ISBN 978-3-319-69554-9
 




NOVA-03_s41467-017-00448-0 Genetically engineered red cells expressing single domain camelid antibodies confer long-term protection against botulinum neurotoxin
 
Nai-Jia Huang, Novalia Pishesha, Jean Mukherjee, Sicai Zhang, Rhogerry Deshycka, Valentino Sudaryo, Min Dong, Charles B. Shoemaker, and Harvey F. Lodish
 
A short half-life in the circulation limits the application of therapeutics such as single-domain antibodies (VHHs). We utilize red blood cells to prolong the circulatory half-life of VHHs. Here we present VHHs against botulinum neurotoxin A (BoNT/A) on the surface of red blood cells by expressing chimeric proteins of VHHs with Glycophorin A or Kell. Mice whose red blood cells carry the chimeric proteins exhibit resistance to 10,000 times the lethal dose (LD50) of BoNT/A, and transfusion of these red blood cells into naive mice affords protection for up to 28 days. We further utilize an improved CD34+ culture system to engineer human red blood cells that express these chimeric proteins. Mice transfused with these red blood cells are resistant to highly lethal doses of BoNT/A. We demonstrate that engineered red blood cells expressing VHHs can provide prolonged prophylactic protection against bacterial toxins without inducing inhibitory immune responses and illustrates the potentially broad translatability of our strategy for therapeutic applications.
 
Nat. Comm., vol.8, No.423 (2017)
 




EJS-05_acs-nanolett-7b01034 Observation of Exciton Redshift–Blueshift Crossover in Monolayer WS2
 
Edbert J. Sie, A. Steinhoff, C. Gies, C.H. Lui, Q. Ma, M. Rosner, G. Schonhoff, F. Jahnke, T.O. Wehling, Y.-H. Lee, J. Kong, P. Jarillo-Herrero, and N. Gedik
 
We report a rare atom-like interaction between excitons in monolayer WS2, measured using ultrafast absorption spectroscopy. At increasing excitation density, the exciton resonance energy exhibits a pronounced redshift followed by an anomalous blueshift. Using both material-realistic computation and phenomenological modeling, we attribute this observation to plasma effects and an attraction–repulsion crossover of the exciton–exciton interaction that mimics the Lennard-Jones potential between atoms. Our experiment demonstrates a strong analogy between excitons and atoms with respect to interparticle interaction, which holds promise to pursue the predicted liquid and crystalline phases of excitons in two-dimensional materials.
 
Nano Letters 17, 4210 (2017)
 




RZP-07_S1364682616303820-main Ionospheric plasma disturbances generated by naturally occurring large-scale anomalous heat sources
 
Rezy Pradipta, Min-Chang Lee, Anthea J. Coster, Craig A. Tepley, Michael P. Sulzer, and Sixto A. Gonzalez
 
We report the findings from our investigation on the possibility of large-scale anomalous thermal gradients to generate acoustic-gravity waves (AGWs) and traveling ionospheric disturbances (TIDs). In particular, here we consider the case of summer 2006 North American heat wave event as a concrete example of such large-scale natural thermal gradients. This special scenario of AGW/TID generation was formulated based on the results of our experiments at the Arecibo Observatory in July 2006, followed by a systematic monitoring/surveillance of total electron content (TEC) fluctuations over North America in 2005–2007 using the MIT Haystack Observatory's Madrigal database. The data from our Arecibo experiments indicate a continual occurrence of intense AGW/TID over the Caribbean on 21–24 July 2006, and the Madrigal TEC data analysis shows that the overall level of TID activity over North America had increased by ~0.2 TECU during the summer 2006 heat wave event. Our proposed scenario is in agreement with these empirical observations, and is generally consistent with a number of past ionospheric HF heating experiments related to AGW/TID generation.
 
J. Atmos. Sol.-Terr. Phys., 156, 15-23 (2017)
 




NOVA-02_PNAS-2017-3157-62 Engineered erythrocytes covalently linked to antigenic peptides can protect against autoimmune disease
 
Novalia Pishesha, Angelina M. Bilate, Marsha C. Wibowo, Nai-Jia Huang, Zeyang Li, Rhogerry Deshycka, Djenet Bousbaine, Hojun Li, Heide C. Patterson, Stephanie K. Dougan, Takeshi Maruyama, Harvey F. Lodish, and Hidde L. Ploegh
 
Current therapies for autoimmune diseases rely on traditional immunosuppressive medications that expose patients to an increased risk of opportunistic infections and other complications. Immunoregulatory interventions that act prophylactically or therapeutically to induce antigen-specific tolerance might overcome these obstacles. Here we use the transpeptidase sortase to covalently attach diseaseassociated autoantigens to genetically engineered and to unmodified red blood cells as a means of inducing antigen-specific tolerance. This approach blunts the contribution to immunity of major subsets of immune effector cells (B cells, CD4+ and CD8+ T cells) in an antigenspecific manner. Transfusion of red blood cells expressing self-antigen epitopes can alleviate and even prevent signs of disease in experimental autoimmune encephalomyelitis, as well as maintain normoglycemia in a mouse model of type 1 diabetes.
 
PNAS, vol.114, No.12, 3157-3162 (2017)
 
See also the following
news article from the Whitehead Institute.



RZP-06_10-1002_navi-141 Assessing the Occurrence Pattern of Large Ionospheric TEC Gradients over the Brazilian Airspace
 
Rezy Pradipta and Patricia H. Doherty
 
We investigate the occurrence pattern of equatorial plasma bubbles and the corresponding ionospheric gradients over a section of the Brazilian airspace in 2014/2015. The GPS-derived total electron content (TEC) data from a chain of receiver stations were used in this study to compute the TEC gradients along the southern crest of the equatorial ionospheric anomaly region over Brazil. Here, we present a few illustrative examples to delineate the general qualitative features of equatorial plasma bubbles in this region, and the varying degree of TEC gradient magnitudes associated with these bubbles. We also inferred the overall probability distribution function of the computed TEC gradient magnitudes in this region, which extend up to ~1000 mm/km at the GPS L1 frequency.
 
J. Inst. Navig., 63: 335-343 (2016)
 




EJS-04_Science-355-1066-2017 Large, valley-exclusive Bloch-Siegert shift in monolayer WS2
 
Edbert J. Sie, Chun Hung Lui, Yi-Hsien Lee, Liang Fu, Jing Kong, and Nuh Gedik
 
Coherent interaction with off-resonance light can be used to shift the energy levels of atoms, molecules, and solids. The dominant effect is the optical Stark shift, but there is an additional contribution from the so-called Bloch-Siegert shift that has eluded direct and exclusive observation in solids. We observed an exceptionally large Bloch-Siegert shift in monolayer tungsten disulfide (WS2) under infrared optical driving. By controlling the light helicity, we could confine the Bloch-Siegert shift to occur only at one valley, and the optical Stark shift at the other valley, because the two effects obey opposite selection rules at different valleys. Such a large and valley-exclusive Bloch-Sigert shift allows for enhanced control over the valleytronic properties of two-dimensional materials.
 
Science 355, 1066 (2017)
 
See also the following article on this particular topic from the
MIT News Office.



JONP-05_nenergy20179 23.6%-efficient monolithic perovskite/silicon tandem solar cells with improved stability
 
Kevin A. Bush, Axel F. Palmstrom, Zhengshan J. Yu, Mathieu Boccard, Rongrong Cheacharoen, Jonathan P. Mailoa, et al.
 
As the record single-junction efficiencies of perovskite solar cells now rival those of copper indium gallium selenide, cadmium telluride and multicrystalline silicon, they are becoming increasingly attractive for use in tandem solar cells due to their wide, tunable bandgap and solution processability. Previously, perovskite/silicon tandems were limited by significant parasitic absorption and poor environmental stability. Here, we improve the efficiency of monolithic, two-terminal, 1-cm2 perovskite/silicon tandems to 23.6% by combining an infrared-tuned silicon heterojunction bottom cell with the recently developed caesium formamidinium lead halide perovskite. This more-stable perovskite tolerates deposition of a tin oxide buffer layer via atomic layer deposition that prevents shunts, has negligible parasitic absorption, and allows for the sputter deposition of a transparent top electrode. Furthermore, the window layer doubles as a diffusion barrier, increasing the thermal and environmental stability to enable perovskite devices that withstand a 1,000-hour damp heat test at 85oC and 85% relative humidity.
 
Nature Energy, 2, Article No. 17009 (2017)
 
In addition, you may also like to read the press release
here.



EJS-03 Observation of intervalley biexcitonic optical Stark effect
in monolayer WS2

 
Edbert J. Sie, Chung Hung Lui, Yi-Hsien Lee, Jing Kong, and Nuh Gedik
 
Coherent optical driving can effectively modify the properties of electronic valleys in transition-metal dichalcogenides. Here, we observe a new type of optical Stark effect in monolayer WS2, one that is mediated by intervalley biexcitons under the blue-detuned driving with circularly polarized light. We find that such helical optical driving not only induces an exciton energy downshift at the excitation valley but also causes an anomalous energy upshift at the opposite valley, which is normally forbidden by the exciton selection rules but now made accessible through the intervalley biexcitons. These findings reveal the critical, but hitherto neglected, role of biexcitons to couple the two seemingly independent valleys, and to enhance the optical control in valleytronics.
 
Nano Letters 16, 7421 (2016)
 




JONP-04 Energy-yield prediction for II–VI-based thin-film tandem solar cells
 
Jonathan P. Mailoa, Mitchell Lee, Ian M. Peters, Tonio Buonassisi, Alex Panchula, and Dirk N. Weiss
 
Polycrystalline, thin-film tandem solar cells that leverage commercial II–VI semiconductor technologies as the top cell could overcome the practical conversion-efficiency limits of single-junction solar cells. However, it is unclear to what extent this class of tandems would outperform single-junction solar cells under realistic operating conditions in the field. In this paper we model the annual energy-yield of tandems with polycrystalline II–VI top cells with different band gap pairs and architectures under changing illumination spectra in different climates. We find that both two-terminal, high-band gap II–VI/CIGS and four-terminal CdTe/CIGS tandems offer energy-yield advantages in all climates commensurate with their AM1.5G efficiency improvements, up to [38%] relative. On the other hand, a two-terminal CdTe/GaSb tandem cell has only an [11%] annual energy-yield advantage in humid climate, because infrared light absorption due to atmospheric water vapor limits the bottom-cell contribution. In addition to narrowing the scope of future II–VI-based tandem R&D efforts, our methodology to rapidly assess tandem energy-yield should be easily generalizable to other material combinations.
 
Energy Environ. Sci., 9, 2644-2653 (2016)
 




RZP-05 Interhemispheric propagation and interactions of auroral traveling ionospheric disturbances near the equator
 
Rezy Pradipta, Cesar E. Valladares, Brett A. Carter, and Patricia H. Doherty
 
We present the results of our GPS total electron content and ionosonde observations of large-scale traveling ionospheric disturbances (LSTIDs) during the 26 September 2011 geomagnetic storm. We analyzed the propagation characteristics of these LSTIDs from the auroral zones all the way to the equatorial region and studied how the auroral LSTIDs from opposite hemispheres interact/interfere near the geomagnetic equator. We found an overall propagation speed of ~700 m/s for these LSTIDs and that the resultant amplitude of the LSTID interference pattern actually far exceeded the sum of individual amplitudes of the incoming LSTIDs from the immediate vicinity of the interference zone. We suspect that this peculiar intensification of auroral LSTIDs around the geomagnetic equator is facilitated by the significantly higher ceiling/canopy of the ionospheric plasma layer there. Normally, acoustic-gravity waves (AGWs) that leak upward (and thus increase in amplitude) would find a negligible level of plasma density at the topside ionosphere. However, the tip of the equatorial fountain at the geomagnetic equator constitutes a significant amount of plasma at a topside-equivalent altitude. The combination of increased AGW amplitudes and a higher plasma density at such altitude would therefore result in higher-amplitude LSTIDs in this particular region, as demonstrated in our observations and analysis.
 
J. Geophys. Res. Space Physics, 121, 2462-2474 (2016)
 




RAGA-06 A high-throughput capillary isoelectric focusing immunoassay for fingerprinting protein sialylation
 
Lam Raga A. Markely, Lila Cheung, Young Jun Choi, Thomas Ryll, Scott Estes, Shashi Prajapati, Iva Turyan, Ruth Frenkel, Zoran Sosic, James Lambropoulos, Lia Tescione, Thomas Ryll, and Melissa Berman
 
The serum half-life, biological activity, and solubility of many recombinant glycoproteins depend on their sialylation. Monitoring glycoprotein sialylation during cell culture manufacturing is, therefore, critical to ensure product efficacy and safety. Here a high-throughput method for semi-quantitative fingerprinting of glycoprotein sialylation using capillary isoelectric focusing immunoassay on NanoPro (Protein Simple) platform was developed. The method was specific, sensitive, precise, and robust. It could analyze 2 µL of crude cell culture samples without protein purification, and could automatically analyze from 8 samples in 4 h to 96 samples in 14 h without analyst supervision. Furthermore, its capability to detect various changes in sialylation fingerprints during cell culture manufacturing process was indispensable to ensure process robustness and consistency. Moreover, the changes in the sialylation fingerprints analyzed by this method showed strong correlations with intact mass analysis using liquid chromatography and mass spectrometry.
 
Biotechnol. Progress, 32: 235–241 (2016)
 




RAGA-05 Enhancement of combustion by drift in a coupled reaction-diffusion model
 
Lam Raga A. Markely, David Andrzejewski, Erick Butzlaff, and Alexander Kiselev
 
We study analytically and numerically a model describing front propagation of a KPP reaction in a fluid flow. The model consists of coupled one-dimensional reaction-diffusion equations with different drift coefficients. The main rigorous results give lower bounds for the speed of propagation that are linear in the drift coefficient, which agrees very well with the numerical observations. In addition, we find the optimal constant in a functional inequality of independent interest used in the proof.
 
Commun. Math. Sci., 4(1), 213-225 (2006)
 




EJS-02 Intervalley biexcitons and many-body effects in monolayer MoS2
 
Edbert J. Sie, Alex J. Frenzel, Yi-Hsien Lee, Jing Kong, and Nuh Gedik
 
The formation of biexcitons is a rare and fascinating phenomenon induced by Coulomb interactions in semiconductors. They are usually understood as hydrogen molecules in solids, with merely modified energy structure from conventional molecules. Meanwhile, recent development of atomically-thin semiconductors, known as monolayer transition metal dichalcogenides (TMDs), provides a platform to realize exotic biexciton species with characteristics that are absent in molecules. Excitons in these materials can acquire a new degree of freedom, the valley index, in addition to their usual atom-like orbital and spin indices. This allows the formation of intervalley biexcitons, a new type where the two constituent excitons have different valley indices. Here, we report the observation of intervalley biexcitons in monolayer TMD MoS2 and measured their properties, using two synchronized femtosecond laser pulses.
 
Physical Review B, 92, 125417 (2015)
 




JONP-03 Textured conducting glass by nanosphere lithography for increased light absorption in thin-film solar cells
 
Jonathan P. Mailoa, Yun Seog Lee, Tonio Buonassisi, and Inna Kozinsky
 
Nanoscale surface texturing in thin-film solar cells has been shown to enhance device efficiency by increasing light absorption through reduced reflectance and increased light scattering across a broad range of wavelengths and angles. However, light trapping in the industrial thin-film cells is still sub-optimal and creating optimized nanoscale texture over a large area remains challenging. In this article, we present a well-controlled low-cost process to fabricate a periodic nanocone texture optimized for maximum light absorption in thin-film microcrystalline silicon solar cells. The texture is fabricated using nanosphere lithography with the period controlled by the nanosphere diameter and the texture shape and aspect ratio controlled by the reactive ion etching conditions. Finite-difference time-domain optical simulations are used to optimize the texture in the state-of-the-art microcrystalline cells, and optical absorption measurements show that the same cells fabricated on the optimized nanocone-textured substrates exhibit a relative short-circuit current increase of close to 30% compared to a reference state-of-the-art cell with a randomly textured zinc oxide layer. This nanocone texturing technique is compatible with standard thin-film cell fabrication processes and can also be used for other thin-film cells (CIGS, CdTe, CZTS, etc) to maximize light absorption and minimize layer thickness enabling more efficient carrier collection and lower overall cost.
 
Journal of Physics D: Applied Physics, 47 (2014)
 




RZP-03 Ionosonde observations of ionospheric disturbances due to the 15 February 2013 Chelyabinsk meteor explosion
 
Rezy Pradipta, Cesar E. Valladares, and Patricia H. Doherty
 
We report the results of our investigations on the potential ionospheric effects caused by the 15 February 2013 Chelyabinsk meteor explosion. We used the data from a number of digisonde stations located in Europe and Russia to detect the traveling ionospheric disturbances (TIDs) likely to have been caused by the meteor explosion. We found that certain characteristic signatures of the TIDs can be identified in individual ionogram records, mostly in the form of Y-forking/splitting of the ionogram traces. Based on the arrival times of the disturbances, we have inferred the overall propagation speed of the TIDs from Chelyabinsk to be 171 + 14 m/s.
 
J. Geophys. Res. Space Physics, 120, 9988-9997 (2015)
 



RZP-04 An effective TEC data detrending method for the study of equatorial plasma bubbles and traveling ionospheric disturbances
 
Rezy Pradipta, Cesar E. Valladares, and Patricia H. Doherty
 
Using a mechanical analogy of rolling a cylindrical barrel on a rough uneven surface, we developed a special method for detrending the GPS-derived total electron content (TEC) data. This method is specifically designed to recognize the presence of depletions in the TEC time series data and handle them differently from wavelike features. We also demonstrate a potential application of this technique to map the detailed geographic profile of TEC depletions over the equatorial region, using the South American sector as an example.
 
J. Geophys. Res. Space Physics, 120, 11048-11055 (2015)
 



EJS-01 Valley-selective optical Stark effect in monolayer WS2
 
Edbert J. Sie, James W. McIver, Yi-Hsien Lee, Liang Fu, Jing Kong, and Nuh Gedik
 
Breaking space–time symmetries in two-dimensional crystals can markedly influence their macroscopic electronic properties. Monolayer transition metal dichalcogenides (TMDs) are prime examples where the intrinsically broken crystal inversion symmetry permits the generation of valley-selective electron populations, even though the two valleys are energetically degenerate, locked by time-reversal symmetry. Lifting the valley degeneracy in these materials is of great interest because it would allow for valley-specific band engineering and offer additional control in valleytronic applications. Although applying a magnetic field should, in principle, accomplish this task, experiments so far have not shown valley-selective energy level shifts in fields accessible in the laboratory. Here, we show the first direct evidence of lifted valley degeneracy in the monolayer TMD WS2. By applying intense circularly polarized light, which breaks time-reversal symmetry, we demonstrate that the exciton level in each valley can be selectively tuned by as much as 18 meV through the optical Stark effect. These results offer a new way to control the valley degree of freedom, and may provide a means to realize new Floquet topological phases in two-dimensional TMDs.
 
Nature Materials, 14, 290-294 (2015)
 
See also the following related articles from the
MIT News Office and IEEE Spectrum.



JONP-01 Room-temperature sub-band gap optoelectronic response of hyperdoped silicon
 
Jonathan P. Mailoa, Austin J. Akey, Christie B. Simmons, David Hutchinson, Jay Mathews, Joseph T. Sullivan, Daniel Recht, Mark T. Winkler, James S. Williams, Jeffrey M. Warrender, Peter D. Persans, Michael J. Aziz, and Tonio Buonassisi
 
Room-temperature infrared sub-band gap photoresponse in silicon is of interest for telecommunications, imaging and solid-state energy conversion. Attempts to induce infrared response in silicon largely centred on combining the modification of its electronic structure via controlled defect formation (for example, vacancies and dislocations) with waveguide coupling, or integration with foreign materials. Impurity-mediated sub-band gap photoresponse in silicon is an alternative to these methods but it has only been studied at low temperature. Here we demonstrate impurity-mediated room-temperature sub-band gap photoresponse in single-crystal silicon-based planar photodiodes. A rapid and repeatable laser-based hyperdoping method incorporates supersaturated gold dopant concentrations on the order of 1020 cm-3 into a single-crystal surface layer ~150 nm thin. We demonstrate room-temperature silicon spectral response extending to wavelengths as long as 2,200 nm, with response increasing monotonically with supersaturated gold dopant concentration. This hyperdoping approach offers a possible path to tunable, broadband infrared imaging using silicon at room temperature.
 
Nature Communications, 5:3011 (2014)
 
See also a few related articles from the
MIT News Office, Novus Light Technologies Today, Photonics Media, as well as the following research highlight in Nature Nanotechnology. An additional link to the paper is given here.



JONP-02 A 2-terminal perovskite/silicon multijunction solar cell enabled by a silicon tunnel junction
 
Jonathan P. Mailoa, Colin D. Bailie, Eric C. Johlin, Eric T. Hoke, Austin J. Akey, William H. Nguyen, Michael D. McGehee, and Tonio Buonassisi
 
With the advent of efficient high-bandgap metal-halide perovskite photovoltaics, an opportunity exists to make perovskite/silicon tandem solar cells. We fabricate a monolithic tandem by developing a silicon-based interband tunnel junction that facilitates majority-carrier charge recombination between the perovskite and silicon sub-cells. We demonstrate a 1 cm2 2-terminal monolithic perovskite/silicon multijunction solar cell with a VOC as high as 1.65 V. We achieve a stable 13.7% power conversion efficiency with the perovskite as the current-limiting sub-cell, and identify key challenges for this device architecture to reach efficiencies over 25%.
 
Applied Physics Letters, 106, 121105 (2015)
 
See also a few related articles from the
Economist, MIT News Office, Scientific American, IEEE Spectrum, PV Magazine, and Solar Reviews. An additional link to the paper is given here.



NOVA-01 Transcriptional divergence and conservation of human and mouse erythropoiesis
 
Novalia Pishesha, Prathapan Thiru, Jiahai Shi, Jennifer C. Eng, Vijay G. Sankaran, and Harvey F. Lodish
 
Mouse models have been used extensively for decades and have been instrumental in improving our understanding of mammalian erythropoiesis. Nonetheless, there are several examples of variation between human and mouse erythropoiesis. We performed a comparative global gene expression study using data from morphologically identical stage-matched sorted populations of human and mouse erythroid precursors from early to late erythroblasts. Induction and repression of major transcriptional regulators of erythropoiesis, as well as major erythroid-important proteins, are largely conserved between the species. In contrast, at a global level we identified a significant extent of divergence between the species, both at comparable stages and in the transitions between stages, especially for the 500 most highly expressed genes during development. This suggests that the response of multiple developmentally regulated genes to key erythroid transcriptional regulators represents an important modification that has occurred in the course of erythroid evolution. In developing a systematic framework to understand and study conservation and divergence between human and mouse erythropoiesis, we show how mouse models can fail to mimic specific human diseases and provide predictions for translating findings from mouse models to potential therapies for human disease.
 
PNAS, vol.111, No.11, 4103-4108 (2014)
 



RZP-01 Generation of artificial acoustic-gravity waves and traveling ionospheric disturbances in HF heating experiments
 
Rezy Pradipta, Min-Chang Lee, Joel A. Cohen, and Brenton J. Watkins
 
We report the results of our ionospheric HF heating experiments to generate artificial acoustic-gravity waves (AGW) and traveling ionospheric disturbances (TID), which were conducted at the High-frequency Active Auroral Research Program facility in Gakona, Alaska. Based on the data from UHF radar, GPS total electron content, and ionosonde measurements, we found that artificial AGW/TID can be generated in ionospheric modification experiments by sinusoidally modulating the power envelope of the transmitted O-mode HF heater waves. In this case, the modulation frequency needs to be set below the characteristic Brunt-Vaisala frequency at the relevant altitudes. We avoided potential contamination from naturally-occurring AGW/TID of auroral origin by conducting the experiments during geomagnetically quiet time period. We determine that these artificial AGW/TID propagate away from the edge of the heated region with a horizontal speed of approximately 160 m/s.
 
Earth Moon and Planets, vol.116, Issue 1 (2015) - Topical Issue on Ionospheric Modification
 



RZP-02 GPS observation of continent-size traveling TEC pulsations at the start of geomagnetic storms
 
Rezy Pradipta, Cesar E. Valladares, and Patricia H. Doherty
 
We report our experimental observation of continent-size traveling plasma disturbances using GPS measurements of total electron content (TEC) over the North American sector. These plasma disturbances occurred at the beginning of geomagnetic storms, immediately after the shock arrived, and prior to the appearance of large-scale traveling ionospheric disturbances (LSTIDs) from the auroral region. Specifically, these supersize TEC perturbations were observed when the interplanetary magnetic field Bz was oscillating between northward and southward directions. They were found to propagate zonally with a propagation speed of 2-3 km/s. We interpret these TEC pulsations as ion drift waves in the magnetosphere/plasmasphere that propagate azimuthally inside the GPS orbit.
 
J. Geophys. Res. Space Physics, 119, 6913-6924 (2014)
 



RHEA-01 Surrogate models and mixtures of experts in aerodynamic performance prediction for aircraft mission analysis
 
Rhea P. Liem, Charles A. Mader, and Joaquim R.R.A. Martins
 
The accurate evaluation of aircraft fuel burn over a complete mission is computationally expensive and may require millions of aerodynamic performance evaluations. Thus, it is advantageous to use surrogate models as approximations of high-fidelity aerodynamic or aerostructural models. Conventional surrogate models, such as the radial basis function and kriging, cannot model these functions accurately, especially in the transonic regime. To address this issue, we explore several ways to improve the accuracy of surrogate models. First, we employ an adaptive sampling algorithm to complement a traditional space-filling algorithm. Second, we improve the kriging surrogate performance by including gradient information in the interpolation (a form of gradient-enhanced kriging -- GEK) and by introducing a known trend in the global model component (kriging with a trend). Lastly, we propose a mixture of experts (ME) approach, which is based on the divide-and-conquer principle. We validate our surrogate models using aerodynamic data for conventional and unconventional aircraft configurations, and we assess their performance in predicting the mission ranges by analyzing ten mission profiles. Our results show that the proposed ME approach is superior to the traditional models. Using a mixture of GEK models to approximate the drag coefficients gives approximation errors of less than 5% with fewer than 150 samples, whereas the adaptive sampling fails to converge when training a global model. However, when we have a simple function profile, such as the lift and moment coefficients, using a conventional surrogate model is more efficient than an ME model, because of the added computational complexity in the latter. The range estimation errors associated with the ME models are less than 2% for all the benchmark mission profiles considered, whereas some traditional models yield errors as high as 20–80%. We thus conclude that the ME technique is both necessary and sufficient for modeling the aerodynamic coefficients for surrogate-based mission analysis.
 
Aerospace Science and Technology, 43, 126-151 (2015)
 



RHEA-02 Multimission aircraft fuel-burn minimization via multipoint aerostructural optimization
 
Rhea P. Liem, Gaetan K.W. Kenway, and Joaquim R.R.A. Martins
 
Aerodynamic shape and aerostructural design optimizations that maximize the performance at a single flight condition may result in designs with unacceptable off-design performance. While considering multiple flight conditions in the optimization improves the robustness of the designs, there is a need to develop a way of choosing the flight conditions and their relative emphases such that multipoint optimizations reflect the true objective function. In addition, there is a need to consider uncertain missions and flight conditions. To address this, a new strategy to formulate multipoint design optimization problems is developed that can maximize the aircraft performance over a large number of different missions. This new strategy is applied to the high-fidelity aerostructural optimization of a long-range twin-aisle aircraft with the objective of minimizing the fuel burn over all the missions it performs in one year. This is accomplished by determining 25 flight conditions and their respective emphases on drag and structural weight that emulate the fuel-burn minimization for over 100,000 missions. The design optimization is based on the computational fluid dynamics of a full aircraft configuration coupled to a detailed finite element model of the wing structure, enabling the simultaneous optimization of wing aerodynamic shape and structural sizing leading to optimal static aeroelastic tailoring. A coupled adjoint method in conjunction with a gradient-based optimizer enable optimization with respect to 311 design variables subject to 152 constraints. Given the high computational cost of the aerostructural analysis, kriging models are used to evaluate the multiple missions. The results show that the multipoint optimized design reduced the total fuel burn by 6.6%, while the single-point optimization reduced it by only 1.7%. This capability to analyze large numbers of flight conditions and missions and to reduce the multimission problem to a multipoint problem could be used with a few modifications to minimize the expected value of any objective function given the probability density functions of the flight conditions.
 
AIAA Journal, vol.53, No.1, 104-122 (2015)
 
A complementary conference paper can be found
here.



RAGA-01 A high-throughput method for quantification of glycoprotein sialylation
 
Lam Raga A. Markely, Boon Tee Ong, Kong Meng Hoi, Gavin Teo, Michelle Y. Lu, and Daniel I.C. Wang
 
Sialic acid can improve qualities of therapeutic glycoproteins such as circulatory half-life, biological activity, and solubility. In production of therapeutic glycoproteins, a high-throughput method is required for process monitoring and optimization to ensure consistent and optimal sialic acid content. Current methods for quantifying sialic acid, however, require chromatographic separation that is time-consuming and cannot rapidly analyze many samples in parallel. Here we present a novel high-throughput method for quantifying glycoprotein sialylation. Using chemical reduction, enzymatic release of sialic acid, and chemical derivatization of the sialic acid, the method can accurately, rapidly (15 min), and specifically analyze many samples in parallel. It requires only 45 µl of sample and has a quantitation limit of 2 µM sialic acid. It has also been validated for monitoring sialylation of recombinant interferon gamma (IFN-γ) produced in Chinese hamster ovary (CHO) cell culture. This method is useful for various applications in upstream and downstream bioprocesses.
 
Analytical Biochemistry, 407(1), 128–133 (2010)
 




RAGA-02 High-throughput analysis of intraclonal variability of glycoprotein sialylation
 
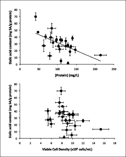
Lam Raga A. Markely and Daniel I. C. Wang
 
Development of recombinant Chinese Hamster Ovary (CHO) cells producing therapeutic proteins requires analyzing the quality, such as sialic acid content, of proteins produced by many cell clones. In order to perform these analyses, high-throughput methods are required. Conventional methods for quantifying sialic acid, however, require protein purification, which is time consuming and cannot be used for high-throughput analysis. Here we used a high-throughput method (HTM) that we recently developed to analyze the intraclonal variability of 24 CHO cell subclones. The sialic acid content varied significantly from 1 to 70 mg sialic acid/g protein, and the concentration of total proteins secreted by the cells varied from 41 to 214 mg/L. In addition, the sialic acid content was negatively correlated with total protein concentration. This trend agrees with previous theoretical and experimental studies. Overall, the HTM can finish these analyses in 15 minutes, while conventional methods used in previous studies will require at least 24 days. Thus, the HTM can significantly accelerate the analyses of clonal and intraclonal variability in cell line development
 
Biotechnology Progress, 28:591-594 (2012)
 




RAGA-03 High-throughput ion exchange purification of positively charged recombinant protein in the presence of negatively charged dextran sulfate
 
Lam Raga A. Markely, Lutfiye Kurt, Janet Lau, Sarthak Mane, Bing Guan, Thomas Ryll, Scott Estes, Shashi Prajapati, Meisam Bakhshayeshi, and John Pieracci
 
Product quality analyses are critical for developing cell line and bioprocess producing therapeutic proteins with desired critical product quality attributes. To facilitate these analyses, a high-throughput small-scale protein purification (SSP) is required to quickly purify many samples in parallel. Here we develop an SSP using ion exchange resins to purify a positively charged recombinant growth factor P1 in the presence of negatively charged dextran sulfate supplemented to improve the cell culture performance. The major challenge in this work is that the strong ionic interaction between P1 and dextran sulfate disrupts interaction between P1 and chromatography resins. To solve this problem, we develop a two-step SSP using Q Sepharose Fast Flow (QFF) and SP Sepharose XL (SPXL) resins to purify P1. The overall yield of this two-step SSP is 78%. Moreover, the SSP does not affect the critical product quality attributes. The SSP was critical for developing the cell line and process producing P1.
 
Biotechnology Progress, 30:516-520 (2014)
 




RAGA-04 Improvement in accuracy and specificity of high-throughput sialic acid assay
 
Lam Raga A. Markely, Kanvasri N. Jonnalagadda, Martin Sinacore, Thomas Rylla, and Shashi Prajapati
 
The efficacy of many therapeutic proteins is influenced by their sialic acid content. Optimizing and consistently controlling the qualitative attributes of proteins produced in bioprocesses would benefit significantly from a high-throughput method (HTM) for measuring the sialic acid content. Previously, we developed an HTM that could rapidly analyze many crude culture samples in parallel. Here, we used high-throughput protein purification and denaturation to improve the accuracy and specificity of the HTM. With these modifications, the current HTM can accurately, precisely, rapidly (70 min), and specifically analyze 80 crude culture samples in parallel. It requires only 30 µL crude sample, and has a quantitation limit of 1 µM sialic acid. Its accuracy has been tested on five different types of glycoproteins. Moreover, we found that sample protein denaturation is crucial to ensure complete cleavage of sialic acid by sialidase. The current HTM can be used for many applications in cell line and bioprocess development.
 
Analytical Methods, 4, 3565-3569 (2012)