4.6.1 Case 1 : One Operator, Infinite Number of Lines

Consider first a case in which a single operator answers all calls and in which the number of telephone lines leading into the switchboard is large enough so that the system never runs out of lines. If the operator is busy when a call arrives, the caller hears a taped message to "please wait" and his or her call joins the queue of 0, 1, 2, . . . more callers already waiting for the single operator. We assume that:

  1. No caller ever gets sufficiently discouraged from waiting to hang up.
  2. An electronic device sequences calls so that they are answered in a FCFS order.
  3. The pdf for call interarrival times is negative exponential with mean 1/lamda.gif (291 bytes) and the pdf for service times (duration of telephone conversations) is negative exponential with mean 1/mu.gif (189 bytes).

What has been described is a queueing system of the M/M/1 type with FCFS service and an infinite system capacity. The latter is due to the large number of lines, which theoretically are sufficient so that there is always an open line to the switchboard. A state-transition diagram for this system is shown in Figure 4.6.

In terms of our fundamental model, we then have

n = for n = 0, 1, 2....

n = for n = 1, 2,3,....

and substituting into (4.28) and (4.30)-and recognizing the presence of a geometric series for (= /) -- we find that

form4.33.gif (4536 bytes)

with the condition for steady state being that the geometric series converges, that is, that

form4.35.gif (2212 bytes)

The condition (4.35) makes sense intuitively. If > 1 (i.e., if > ), the average rate of arrivals at the queueing system exceeds the rate at which the server-operator can service calls. Thus, the longer the system operates, the longer the queue tends to become and no steady state is ever reached.

It is much less obvious why steady state is not reached for = 1. A possible way for explaining this is to argue that the longer the queue grows in this case, the more unlikely it is that it will ever appreciably decrease again, since the service rate just matches the arrival rate.

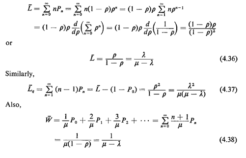
Numerous other quantities can now be computed for the M/M/1 system. For instance (the algebra here is quite interesting),

and

form4.39.gif (4871 bytes)

[Of course, (4.37)-(4.39) could have been obtained from (4.36) by just using (4.10), (4.11), and (4.13).]

In addition to the expected total system time, , it is actually possible to derive, for a M/M/1 queue, the pdf for the system occupancy time, W, under steady-state conditions. To do this, let A. be the event that a random call arrives to find n other calls already at the switchboard and thus becomes the (n + 1)th call in the system. (Clearly, P{An} = Pn.) The total time that caller spends in the system (in queue and in service) is the sum of n + 1 independent and negative exponentially distributed random variables each with mean l/.

[The remaining service time of the caller who occupies the operator at the time of arrival of the caller of interest is also distributed as a negative exponential random variable because of the "no-memory" property of the negative exponential pdf.]

Thus, W, for any given n, has the pdf of an Erlang random variable of order n + 1. So, we have

Thus, somewhat surprisingly, the system occupancy time is exponentially distributed. Its expected value, , is equal to [(l - )]-1 which, of course, is the result we have already obtained in (4.38).

In a quite similar way, one can derive the pdf for the time spent waiting in the queue, Wq. This pdf is a mixed one, having an impulse at Wq = 0. The reason is that with probability P0 = 1 - , the waiting time will be equal to 0. It is thus more convenient to write the cumulative distribution for Wq:

form4.41.gif (4947 bytes)

Exercise 4.3 Show that the variance of the total number of callers in the system is

form4.42.gif (3766 bytes)

Thus, as rarrow.gif (63 bytes) 1, not only does the expected number of callers, , in the queueing system grow in proportion to (1-)-1 but also the variance grows as (1 - )-2 (i.e., even faster).

Exercise 4.4 Finally, our last result refers to the average duration of a busy period for the M/M/1 system. A busy period is defined to begin with the arrival of a call while the system switchboard is completely empty and to end when the switchboard next becomes free once again. Argue that in steady state,

form4.43.gif (4524 bytes)

5 The remaining service time of the caller who occupies the operator at the time of arrival of the caller of interest is also distributed as a negative exponential random variable because of the "no-memory" property of the negative exponential pdf.

6 Remember that form4.41a.gif (1750 bytes).