4.6.2 Case 2: m Operators, Infinite Number of Lines

    Suppose now that, while keeping everything else in the emergency call center exactly the same as before, the number of telephone operators is increased to m (> 1). The service time pdf's associated with each operator are identical and negative exponential with parameter ju. When all operators are busy, the next call in line is assigned to the first operator to become free, while when two or more operators are free, the next incoming call is assigned to an operator in some arbitrary way.
    The state-transition diagram for this case is shown in Figure 4.7. In terms of the queueing system code, this is a M/M/m system with infinite queue capacity and FCFS service. With respect to our fundamental model,

form4.44.gif (14225 bytes)


204.gif (10010 bytes)

and, substituting in (4.25),

form4.45.gif (31711 bytes)

 

    Expressions for other quantities of interest can now be derived using the steady-state probabilities, Pn.

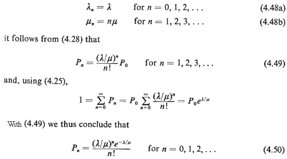
Limiting case: Infinite number of servers. The limiting extension of case 2 is when the number of servers m is (countably) infinite. In such a situation no user of the queueing system will ever have to wait in line. Since in this case we have

 form4.48.gif (20839 bytes)

    This is a remarkable result, stating that the steady-state probability distribution for the number of users present (and, consequently, for the number of busy servers as well) in a M/M/ system is Poisson with parameter /. It follows, of course, that 206-1.gif (4386 bytes) 0. Note also that steady state is inevitably reached in this case, since there are always sufficiently many servers to assure that the service rate will eventually exceed the rate of arrivals [see (4.48)].
    Although one may argue that there are not many systems around with an infinite number of servers, the model of this section is still very useful in numerous applications in which there is only a very low probability that all the servers in a system with many parallel, identical servers will be busy simultaneously. The Poisson distribution result for the steady-state probabilities [(4. SO)] that we derived can then be used to obtain good approximations of occupancy-related statistics for the system in question. We shall return to this type of approximation in our subsequent discussion of the M/G/inf.gif (300 bytes) queueing system (Section 4.8).